患者さまへ
診療内容
1)白血病・骨髄異形成症候群
白血病は造血幹細胞からの分化過程の細胞が腫瘍化することで発病します。急性白血病と慢性白血病に分けられ、細胞の系統によりそれぞれ骨髄性白血病とリンパ性白血病に分類されます。
急性白血病:近年、従来型の抗癌剤治療に加えて、新しい機序の薬剤の開発が進んでいます。急性骨髄性白血病では新規の治療薬(アザシチジン+ベネトクラクス、CPX-351)、分子標的薬(FLT3阻害薬、IDH1阻害薬)が使用されるようになりました。急性リンパ性白血病でも抗癌剤治療やチロシンキナーゼ阻害薬(フィラデルフィア染色体陽性の場合)に加え、新規の治療薬(イノツズマブオゾガマイシン、ブリナツモマブ)、CAR T細胞療法を保険診療として行う事が可能となっています。当科ではこれらの最新の治療とともに、疾患再発リスクに応じて同種造血幹細胞移植も行っています。
慢性白血病:慢性骨髄性白血病は分子標的薬の内服治療により長期の寛解と、一部の患者さんでは治療薬の中止可能な寛解(treatment free remission)が目指せるようになりました。慢性リンパ性白血病は疾患進行リスクに応じて無治療経過観察、分子標的薬(BTK阻害薬、ベネトクラクス)、抗体薬、抗癌剤による治療を行っています。
骨髄異形成症候群:骨髄異形成症候群は造血幹細胞の異常によって、細胞形態の異常(異型性)や血球減少をきたす疾患で、一部は急性白血病に進行します。疾患の進行リスクに応じて無治療経過観察、輸血療法、造血剤の投与、化学療法や同種造血幹細胞移植を行っています。
当科では急性骨髄性白血病や骨髄異形成症候群を中心に、各種造血器疾患の治療方針の決定に必要な場合には遺伝子パネル検査(ヘムサイト®)を実施しています(別項目参照)。
2)リンパ腫
血液内科で扱う疾患では最も患者さんが多い疾患の一つです。リンパ腫を疑った場合は、組織を採取する生検を行い、病理専門医による詳細な分類に基づいて診断を行います。病理診断、病期(ステージ)によって治療の方針(化学療法、放射線照射、経過観察など)を決定し、化学療法を行う場合は年齢や全身状態、合併症などによって患者さんごとに強度の調節を行います。新規治療薬の登場が続いており、年々治療成績は向上している悪性リンパ腫が多く、最終的に根治が期待できることも少なくありませんが、経過次第では二重特異性抗体、造血幹細胞移植、CAR-T細胞、などさらに次の治療ステップに進むこともあります。
3)多発性骨髄腫
多発性骨髄腫は、血液細胞の1つである形質細胞ががん化し、貧血や骨痛、腎機能障害などを引き起こす疾患です。近年、プロテアソーム阻害薬、免疫調節薬、抗体医薬、二重特異性抗体などの新規治療薬が次々と登場し、治療成績は大きく向上しています。CAR T細胞療法などの先進的な免疫療法も実用化され、長期生存が期待できる時代となりました。当院では標準治療に加え、CAR T細胞療法や各種治験・臨床試験にも積極的に取り組むことで、患者さんに最適な治療を提供しています。
4)赤血球系疾患
赤血球はヘモグロビンを含み、肺で取り込んだ酸素を全身へ運びます。赤血球が少ない、壊れやすい、ヘモグロビンに異常があると、息切れ・動悸・だるさ・めまい・黄疸などの症状がみられます。貧血の原因は鉄やビタミンの欠乏、出血、腎臓病、炎症、血液疾患、薬剤など多様です。当科では自己免疫性溶血性貧血、発作性夜間ヘモグロビン尿症(PNH)、遺伝性球状赤血球症、サラセミアなどについて、専門的な検査・治療を行っています。健診で貧血を指摘され、原因がはっきりしない場合や、治療で改善しない場合などはご相談ください。必要に応じて他科やかかりつけ医と連携しながら、患者さん一人ひとりの状況に応じた診療を行います。
5)止血系疾患
血小板は出血が起きた時に、血液を凝固させて止血する細胞です。血小板減少症や血小板が正常に機能しない血小板機能異常症では出血しやすくなり、血小板増加症では血栓症を起こしやすくなります。血小板減少症、血小板機能異常症、血小板増加症いずれも原因は多岐にわたります。当科では血小板減少症や血小板機能異常症について診断のための専門的な検査、治療を行っています。異常な自己抗体が血小板を破壊し減少させる疾患である免疫性血小板減少症(ITP)の診療に特に力を入れており、新規薬剤を積極的に使用した治療や様々な臨床試験を行っています。健康診断で血小板減少、血小板増加を指摘された場合や、紫斑(青あざ)や歯ぐきからの出血が続く場合などはご相談ください。
治験について
治験には「医師主導治験」と「企業主導治験」があります。医師主導治験は治験の準備から管理を医師自ら行い、企業主導治験は企業が主体となって行うという違いがあります。
治験は患者さんの安全性と試験の信頼性を確保するために、「医薬品、医療機器等の品質、有効性及び安全性の確保等に関する法律(薬機法)」という法律と薬機法に基づいて制定された「医薬品の臨床試験の実施の基準に関する省令(GCP)」という規則を守って行うことが定められています。管理・運営を医師自ら行う「医師主導治験」では、開発が進みにくい希少疾患に対する医薬品、外国では使用されているにもかかわらず国内では未承認となっている医薬品や医療機器について臨床試験を行っています。
遺伝子パネル検査について
造血器腫瘍の発症や再発・治療抵抗性に遺伝子異常が重要な役割を果たしており、その情報は診断、治療法の選択、予後予測に役立ちます。次世代シークエンサーという解析装置を用いて、患者さんの腫瘍DNA/RNAから造血器腫瘍や類縁疾患に関連する多岐に渡る遺伝子異常を一度に網羅的に検出する遺伝子パネル検査により、複数の遺伝子異常を同時に解析することで患者さん一人一人に最適化された個別化医療の実現が期待されています。近年保険適応となったこの検査を用いて、より正確な診断、適切な薬剤/治療法の選択、治療効果の予測を行うことにより、造血幹細胞移植の適応決定や臨床試験への参加の検討など、患者さんの治療方針決定に役立てることを目指しています。
参考資料:当科における移植成績
参考資料:当科におけるCAR-T療法件数(2020年~2025年)

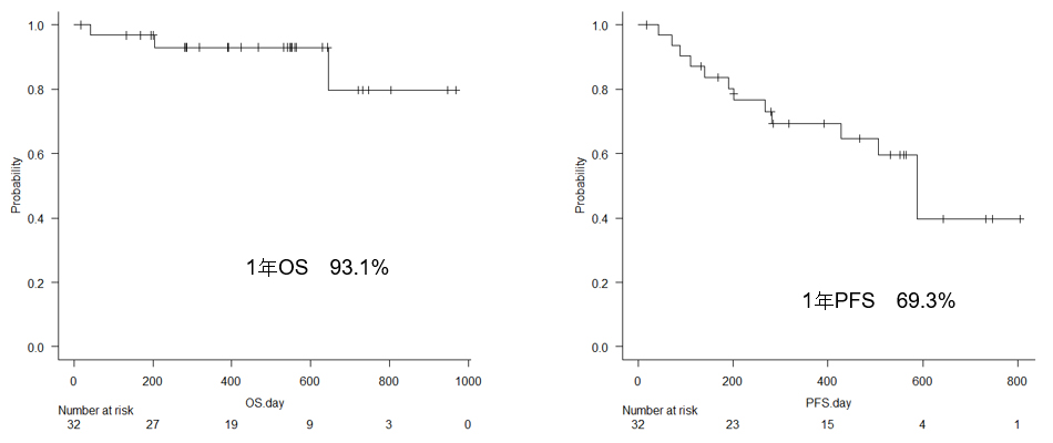
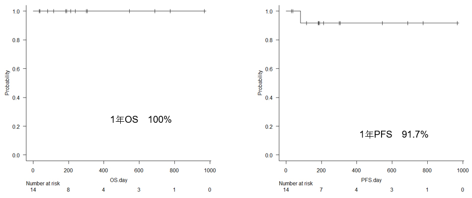
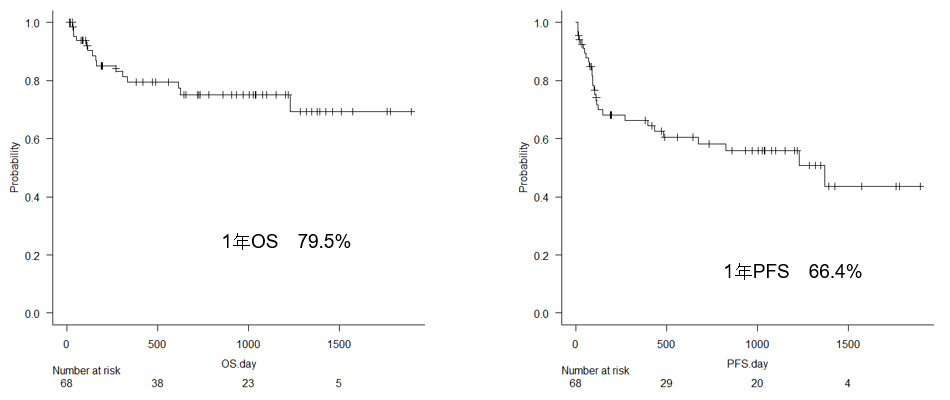
参考資料:当科における多発性骨髄腫に対するCAR-T療法の治療成績

参考資料:当科におけるリンパ腫に対するCAR-T療法の治療成績(2次治療)

参考資料:当科におけるリンパ腫に対するCAR-T療法の治療成績(3次治療以降)

同種骨髄移植後再発AMLに対する新規治療開発
大阪大学血液・腫瘍内科では急性骨髄性白血病(AML)に対する新しいCAR T細胞療法を開発しています(図1)。

CAR T細胞とはがん細胞を見つけて、それを退治することができるように改造したTリンパ球です。患者さんから採血した血液を体外でCAR T細胞に改造し、再び患者さんに点滴することにより治療が行われます。悪性リンパ腫や多発性骨髄腫では非常に高い効果を示し、我が国でも2019年に保険承認が行われ、多くの患者さんを治せるようになっています。我々の研究室では新しいCAR T細胞治療の開発を行っており、その成果を報告(Nat Med 23, 1436–1443, 2017, Sci Transl Med 14, eaax7706, 2022)するとともに、実用化を進めてきました。
AMLに対する治療の最終手段は同種造血細胞移植です。移植は非常に有効な治療法ですが限界もあり、少なくはない患者が再発してしまいます。そこで、移植後の再発を防ぐ方法としてCAR T細胞の応用が期待されています(図2)。残念ながら、急性骨髄性白血病(AML)に対するCAR T細胞は世界に存在しません。

我々は、最近、AMLに対するCAR T細胞およびCAR NK細胞を開発し、学術誌にその成果を報告しました。現在それらの臨床応用を進めており、ここにご紹介いたします。
1.AML同種移植後の再発を防ぐCAR T細胞療法①:KG2032 CAR T細胞 (Nat Cancer 6, 595-611, 2025)(図3)
同種移植後のAMLの再発を防ぐ一つの方法は、移植後にAMLだけを攻撃してくれるCAR T細胞を投与することです。しかし、そのようなAMLの目印は世界中の研究者が徹底的に探しても見つかっていません。我々は同種移植後という特殊(しかしAML患者では一般的)な状況において、ドナーとレシピエントで異なるHLA-DRB1(白血病の血液型のようなもの)を目印にして白血病細胞だけを攻撃できるKG2032 CAR T細胞を開発しました。患者がKG2032という抗体が結合するHLA-DRB1を持ち(日本人の場合7割程度)、ドナーがKG2032という抗体が結合しないHLA-DRB1を持つ場合にこの治療の適応になります。すでに動物実験では著明な有効性が確認されており、近日中に医師主導治験が開始される予定です。

2.AML同種移植後の再発を防ぐCAR T細胞療法②:2-23 CAR T細胞 (Cancer Immunol Immunother, in press)(図4)
上に述べたようにAMLだけに出ている目印は世界中の研究者が徹底的に探しても見つかっていませんが、いくつか良い候補も知られています。例えばCLL-1という蛋白質は、AMLの源になる白血病幹細胞に発現しているが正常造血幹細胞には発現していないことが知られています。ただ、CLL-1は好中球にも発現しているため、CLL-1を目印として攻撃するCAR T細胞を投与すると、好中球がなくなってしまい、致死的な感染症が起こります。しかし、CLL-1を目印として攻撃するCAR T細胞を同種移植の前に投与して白血病細胞を駆逐し、その後に同種移植を行い正常な好中球などを補うという方法なら、移植後のAML再発を大きく減らせる可能性があります。我々は従来のものよりも感度の高い(CLL-1の発現が低い白血病も攻撃可能)2-23 CAR T細胞を開発し、すでに動物実験では著明な有効性があることを示しました。こちらも医師主導治験に向けての準備を進めています。

3.より安価ですぐに使える臍帯血由来CAR NK細胞療法の開発:臍帯血由来CAR NK細胞(Nat Cancer 6, 595-611, 2025)(図5)
CAR T細胞は非常に効果の高い治療ですが、患者さんごとに作製する必要があるので、非常に高価であり、また製造するのに時間がかかるという問題があります。一方、NK細胞にCARを導入したCAR NK細胞はCAR T細胞と異なり、他人から作ったものでも投与可能です。したがって、一つの臍帯血から大量のCAR NK細胞を作製しストックしておいて、必要な時に使う事が可能となり、大幅なコストダウンが期待されます。そこで我々は臍帯血を原料にCAR NK細胞の開発を進めており、すでに動物実験では高い有効性を示すことに成功しています。こちらも近い将来の臨床応用に向けて開発を進めています。

外来スケジュール
大阪大学医学部附属病院は厚生労働省より認定された「特定機能病院」です。受診される場合は、原則として他の医療機関からの「紹介状(診療情報提供書)」が必要です。当科の受診方法はこちらをご覧ください。
| 月曜日 | 火曜日 | 水曜日 | 木曜日 | 金曜日 | ||
| 2402 | 午前 | 【初診】 一井 倫子 |
草壁 信輔 | 髙森 弘之 | 【初診】 寺川 拓弥 |
【初診】 植田 康敬 |
|---|---|---|---|---|---|---|
| 午後 | 中田 潤 (血液・癌免疫) |
草壁 信輔 | 髙森 弘之 | |||
| 2403 | 午前 | 上田 智朗 | 一井 倫子 | 【移植】 草壁 信輔 |
日野 彬央 | 笠原 秀範 |
| 午後 | 上田 智朗 | 一井 倫子 | 【移植】 草壁 信輔 |
日野 彬央 | 笠原 秀範 | |
| 2404 | 午前 | 芥田 敬吾 | 保仙 直毅 | 植田 康敬 | 福島 健太郎 | 加藤 恒 |
| 午後 | 芥田 敬吾 | 植田 康敬 | 福島 健太郎 | 加藤 恒 | ||
| 2405 | 午前 | 藤田 二郎 | 尾路 祐介 (血液・癌免疫) |
杉山 治夫 (血液・癌免疫) |
西村 純一 | 岡 芳弘 (血液・癌免疫) |
| 午後 | 藤田 二郎 | 尾路 祐介 (血液・癌免疫) |
西村 純一 | 岡 芳弘 (血液・癌免疫) |
||
2025年5月現在







